XYZ表色系の記事で等色関数が理解できましたので、分光放射束から色度座標等を
計算してみます。
具体的には、積分球と分光器を使用してLEDの色度座標や全光束[lm]を算出しますが、
まずは計算方法から記載します。
測定された分光データからXYZ三刺激値、xy色度を計算するには、対象となるデータ
が光源色か物体色かのどちらのデータかによって方法が異なります。
光源色は発光する光源そのものの色です。
物体色は物体を見た時の色です。 物体色を測定するときは、物体に光を当てて
その反射光を測定します。つまり物体の分光反射率と物体に当てる光源の色の両方が
物体色の測定に必要となります。
1.三刺激値Yを輝度L[cd/㎡]に対応させる場合(主に光源色の場合)
この項の初めに記載した「積分球と分光器を用いて光源の分光分布を求める」
ことが初めに必要になります。
(1)三刺激値の計算
求めた分光分布をLe(λ)とします。Δλは測定間隔[nm]です。
を等色関数としますと、三刺激値XYZは以下のように計算
できます。
・・・(4.1)
係数Kは最大視感効率Kmより次のようになります。
K = Km = 683[lm/W] ・・・(4.2)
また、XYZ表色系はRGB表色系と異なり測光量との対応ができ、以下の
式により放射量から測光量へ変換できるようになっています。
・・・(4.3)
Φe(λ)が分光放射輝度Le(λ)[W/sr・㎡・nm]の時は、Φvは輝度L[cd/㎡]
となります。分光放射照度の場合は照度、分光放射束の場合は光束になります。
式(4.4)は分光放射輝度を輝度に変換しています。
・・・(4.4)
式(4.4)を式(4.1)と比較すれば、三刺激値Yは輝度Lと同一であることが分かります。
三刺激値Yを輝度Lとする方法は光源色だけでなく、物体色にも適用できます。
さらに、分光放射輝度ではなく、分光放射照度[W/㎡・nm]を用いれば三刺激値Y
は照度[lx = lm/㎡]となり、分光放射束[W/nm]を用いれば三刺激値Yは光束[lm]
となります。
(2)色度の計算
三刺激値XYZが求まりましたので、色度はXYZ表色系の式(3.17)より
以下のように計算できます。
x = X / (X + Y + Z)
y = Y / (X + Y + Z) ・・・(3.17)
z = Z / (X + Y + Z) = 1 – x – y
(3)色度の計算の具体例(引用:篠田博之・藤枝一郎 色彩工学入門 森北出版)
ある表面の分光放射輝度が0.001[W/sr・㎡・nm]で一定であるとき、輝度Yと
色度座標(x, y)を求める問題。
計算には、XYZ表色系の図-3.6の等色関数を用います。
式(4.1)にLe(λ)=0.001[W/sr・㎡・nm]、Δλ=10nm及びK=683[lm/W]を
代入すると、 以下のようになります。
・・・(4.5)
Y = 72.983より、輝度は73[cd/㎡]となります。また、式(3.17)より色度は
(x, y) = (0.333, 0.333)となり、等エネルギー白色であることが分かります。
等色関数の表が5[nm]置きの時は、Δλ= 5を使用します。
2.三刺激値Yをルミナンスファクターに対応させる場合(物体色の場合のみ)
ルミナンスファクター(Luminance Factor)とは、物体表面の明るさを特定の照明
下で、その光源の輝度に対する比率で表した数値です。
物体がどれくらい光を反射するかの指標となる数値で、物体の表面から反射される
光の量をその照明光の輝度で割ることで求めます。
物体表面の明度や反射率に対応し、完全拡散反射面のY値を上限の100とするように
定義されています。
(1)三刺激値の計算
光源の分光強度S(λ)と分光反射率ρ(λ)から三刺激値XYZを以下の計算で求めます。
・・・(4.6)
式(4.6)では式(4.1)のLe(λ)の代わりに光源の分光強度S(λ)と物体の分光反射率ρ(λ)
との積を用いています。S(λ)は分光放射輝度や分光放射束の絶対値である必要は無く、
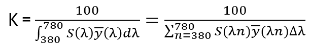
相対値を用いることが可能です。係数Kは式(4.7)で与えられます。
・・・(4.7)
この値は、すべての波長でρ(λ) = 1になる完全拡散反射面のYが100と定義されている
ことから導かれます。
(2)色度の計算
1.の(2)と同様です。
(3)色度の計算の具体例(引用:篠田博之・藤枝一郎 色彩工学入門 森北出版)
分光反射率が450[nm]~550[nm]で1.0、それ以外の波長で0.0となる表面に
CIE標準光源Aを照射したときのルミナンスファクターYと色度座標(x, y)を求める問題。
波長間隔は10[nm]、標準光源Aの相対分光分布と物体の分光反射率及び等色関数は
以下の図-4.1の数値を用います。

図-4.1 計算に用いるデータ
式(4.7)より、
K = 100 /
= 100 / 10789.56 = 0.009268 ・・・(4.8)
また式(4.6)より
X = K・1206.522 = 0.009268・1206.522 = 11.1820
Y = K・3720.371 = 0.009268・3720.371 = 34.4804 ・・・(4.9)
Z = K・2795.607 = 0.009268・2792.607 = 25.8819
x = X / (X + Y + Z) = 11.1820 / 71.5443 = 0.1563
y = Y / (X + Y + Z) = 34.4804 / 71.5443 = 0.4819 ・・・(4.10)
ルミナンスファクターYは34.4804、色度座標(x, y) は(0.1564, 0.4819)となります。
XYZ表色系の色度図を見ると緑色付近を示しており分光反射率で1.0とした450[nm]
から550[nm]付近の波長が示す色と対応していることが分かります。図-4.2の黒丸が
色度座標(x, y) = (0.1564, 0.4819)を示します。

図-4.2 XYZ色度図上の位置


