XYZ表色系

LED

 RGB表色系を用いれば色を三刺激値で表現できます。しかしながらこの表色系には
欠点があり、特に次の2点が問題になります。
 1.負の三刺激値がある。
 2.輝度を表現する場合、以下の式で変換する必要がある。
     Lc = R + 4.5907G + 0.0601B          ・・・RGB表色系の(2.4) 

 これらの点を解決するためにXYZ表色系が制定されました。

 1.の問題を解決するために、図のスペクトル軌跡をすべて含む3角形の頂点に色度
座標を持つような原刺激(X)(Y)(Z)を用いました。しかしこのような色刺激は実際には
存在しないため虚色と呼ばれます。

 2.の問題についてはRGB表色系の式(2.4)のLc=0、つまり
     R + 4.5907G + 0.0601B = 0          ・・・(3.1)
を考えます。

 

        図-3.1 RGB表色系の単位面と無輝面との位置関係
           (池田光男 色彩工学の基礎 朝倉書店(1980))

  これは原点を通る平面の式で、Lc=0で輝度が0ですので、無輝面と呼ばれます。
  無輝面と単位面の交線はアリクネ(alycne)と呼ばれ、2次元の色度図上にも直線
 として表示されます。輝度がゼロの直線なので、無輝線です。
  式(3.1)に R+G+B=1を代入し、Rをr、Gをgと書き換えて整理すると
   0.9399r + 4.5306g + 0.0601 = 0          ・・・(3.2)
 が得られます。これが無輝線の式です。

  原刺激(X)(Y)(Z)のうち(X)と(Z)を無輝面上にとることにより、それらの原刺激の
 輝度は0になります。明度係数をlx、ly、lzとすれば色光Cの輝度Lcは
   Lc = lxX + lyY + lzZ               ・・・(3.3)
 となるため、
 XYZ表色系での輝度は
   Lc = lyY                     ・・・(3.4)
 となります。三刺激値のうちYだけを知れば輝度が求められることになります。

  式(3.3)は、以下のRGB表色系の式(2.4)に相当するものであり、
   Lc = lrR + lgG + lbB               ・・・(2.4)
 X、Y、ZはXYZ座標系で色光Cを表した時の三刺激値です。
   C(C) ≡ X(X) + Y(Y) + Z(Z)            ・・・(3.5)
 が成立します。また、XYZ表色系の等色関数を
   
 とすると、以下のRGB表色系の式(2.18)
        ・・・(2.18)
 に対応して
        ・・・(3.6)
 が成立し、lx = 0、 ly = 0ですので、
                   ・・・(3.7)
 となり、XYZ表色系の等色関数のうち、
   
 は標準分光視感効率(比視感度)と一致します。

   このようにしてXYZ表色系の原刺激が定められました。これを図-(3.2)と式(3.8)に
 示します。

 

   図-3.2 RGB表色系のRG色度図上のXYZ表色系の原刺激X、Y、Zの位置
       (池田光男 色彩工学の基礎 朝倉書店(1980))

   XとZは式(3.2)で示されるアリクネの上にとり、XとYを結ぶ線は700[nm]~560[nm]
  のスペクトル軌跡を延長してできる直線上にあります。YとZを結ぶ線は504[nm]の波長の
  ところでスペクトル軌跡にほぼ接するように決まりました。

 

      図-3.3 RGB表色系三次元色度座標と等エネルギースペクトル
          (池田光男 色彩工学の基礎 朝倉書店(1980))
          矢印は等エネルギースペクトル(長さは実際の2倍で表示)
           (矢印の先端の座標は等色関数の座標)
          Weは等エネルギー白色
          黒点を結ぶ曲線は色度図におけるスペクトル軌跡

  XYZ表色系の原刺激の(r,g,b)色度座標は以下の通りです。
   X(1.2750, -0,2778, 0.0028)
   Y(-1.7392, 2.7671, -0.0279)           ・・・(3.8)
   Z(-0.7431, 0.1409, 1.6022)

RGB表色系からXYZ表色系への変換

 ある色光CはRGB表色系の三刺激値R、G、Bによって表されます。
  C(C) ≡ R(R) + G(G) + B(B)            ・・・(3.9)
 また、式(3.5)より
  C(C) ≡ X(X) + Y(Y) + Z(Z)            ・・・(3.5)
 であるので、色光Cの三刺激値R、G、Bが与えられたとき、X、Y、Zについて
次の式が成り立ちます。
  X = XrR + XgG + XbB              
  Y = YrR + YgG + YbB                ・・・(3.10)
  Z = ZrR + ZgG + ZbB                

 式(3.10)の係数Xr~Zbの9個の係数を求めれば変換ができます。
 色光CがX軸と一致するときは、Y = Z = 0であるので、この時のR、G、Bの値
は式(3.8)のXの座標で与えられています。従って、
  1.2750Yr – 0.2778Yg + 0.0028Yb = 0         ・・・(3.11)
  1.2750Zr – 0.2778Zg + 0.0028Zb = 0         
となります。同様にCがY軸と一致するときとZ軸と一致するときは
  -1.7392Xr + 2.7671Xg – 0.0279Xb = 0         
  -1.7392Zr + 2.7671Zg – 0.0279Zb = 0         ・・・(3.12)
  -0.7431Xr + 0.1409Xg +1.6022Xb = 0         
  -0.7431Yr + 0.1409Yg +1.6022Yb = 0         
です。

 次の条件としてCが等エネルギー白色の場合、R=G=B、X=Y=Zですので、
  Xr + Xg + Xb = Yr + Yg + Yb = Zr + Zg + Zb         ・・・(3.13)
が成立します。さらにYを輝度と一致させるため、下記式(2.4)
  Lc = R + 4.5907G + 0.0601B          ・・・RGB表色系の(2.4) 
の明度係数の関係から、
  Yr + Yg + Yb = lr + lg + lb = 1 + 4.5907 + 0.0601 = 5.6508  ・・・(3.14)
となります。式(3.11)、式(3.12)、式3.13)、式(3.14)より、
  Xr = 2.7689,  Xg = 1.7517,  Xb = 1.1302
  Yr = 1.0000,  Yg = 4.5907,  Yb = 0.0601        ・・・(3.15)
  Zr = 0.0000,  Zg = 0.0565,  Zb = 5.5943
が得られます。これらを式(3.10)に代入すると
  X = 2.7689R + 1.7517G + 1.1302B       
  Y = 1.0000R + 4.5907G + 0.0601B             ・・・(3.16)
  Z = 0.0000R + 0.0565G + 5.5943B 
となります。    
 これから色度座標x、y、zを求めるには、以下の式(3.17)に式(3.16)を代入して
  x = X / (X + Y + Z)
  y = Y / (X + Y + Z)                    ・・・(3.17)
  z = Z / (X + Y + Z)
以下の式が得られます。
  x = (2.7689R + 1.7517G + 1.1302B) / (3.7689R + 6.3989G + 6.7846B)
  y = (1.0000R + 4.5907G + 0.0601B) / (3.7689R + 6.3989G + 6.7846B) ・・・(3.18)
  z = (0.0000R + 0.0565G + 5.5943B) / (3.7689R + 6.3989G + 6.7846B)
 ここで、RGBの色度座標の式 
  r = R / (R + G + B) 
  g = G / (R + G + B)               ・・・(3.19) 
  b = B / (R + G + B) 
 を、以下のように変形して
  R = r(R + G + B)
  G = g(R + G + B)                ・・・(3.20)
  B = b(R + G + B)
とし、式(3.18)に代入して最終的に
  x = (2.7689r + 1.7517g + 1.1302b) / (3.7689r + 6.3989g + 6.7846b)
  y = (1.0000r + 4.5907g + 0.0601b) / (3.7689r + 6.3989g + 6.7846b) ・・・(3.29)
  z = (0.0000r + 0.0565g + 5.5943b) / (3.7689r + 6.3989g+ 6.7846b)
が得られます。

 これにRGB表色系の色度座標を代入してXYZ表色系の色度座標x(λ)、y(λ)、z(λ)
を求めると以下の表のようになります。

 

    図-3.5 XYZ表色系の色度座標

 XYZ表色系の等色関数は色度座標から以下のように求められます。
x_(λ)、y_(λ)、z_(λ)を等色関数とします。

 x_(λ) = ( x(λ) / y(λ) ) V(λ)
 y_(λ) = V(λ)                        ・・・(3.30)
 z_(λ) = ( z(λ) / y(λ) ) V(λ)

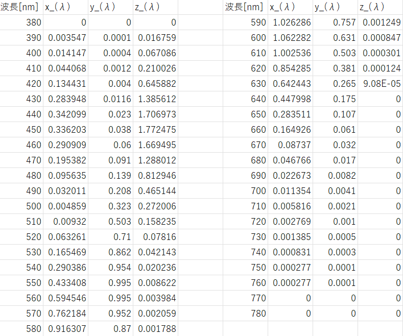
 式(3.30)により計算すると以下の表のようになります。

    図-3.6 XYZ表色系の等色関数

 これをグラフに表示すると図-3.7になります。

 

        図-3.7 XYZ表色系の等色関数のグラフ

  図-3.5 XYZ表色系の色度座標のデータを3次元表示すると図-3.8の
 XYZ表色系色度座標の3次元表示グラフとなります。

 

        図-3.8 XYZ表色系色度座標の3次元表示グラフ

 図-3.8のXYZ表色系色度座標の3次元表示グラフをXY平面に投影しxy色度図としてプロット
すると図-3.9のxy色度図になります。

 

        図-3.9 xy色度図(CIE 1931 color space – Wikipediaより) 

 等色関数を使って等エネルギースペクトルを3次元表示すると図-3.10の矢印
のようになります。矢印と単位面との交点が色度座標で、この色度座標をXY平面
に投影したものが図-3.9のxy色度図です。

 

      図-3.10 XYZ表色系三次元色度座標と等エネルギースペクトル
          (池田光男 色彩工学の基礎 朝倉書店(1980))
          矢印は等エネルギースペクトル。黒点を結ぶ曲線は
         色度図のスペクトル軌跡を表します。

   次は色々な分光分布から色度座標を求めます。

タイトルとURLをコピーしました