LEDの測定 ①で色度座標まで求まったので、ここでは相関色温度、演色評価数を求めます。
手順はJIZ8724、JIS8725などを見れば記載されていますが、この記事はこれらの方法を
まとめたものです。LEDの測定 ①と重なる部分もありますが、手順を示すためです。
1.手順
以下にフローを示します。

2.試料光源の相対分光分布を測定 (JIS Z 8724 の 4.2)
(1)標準光源の分光分布データを測定:Rs(λ)とする
(2)試料の分光分布データを測定:Rt(λ)とする
求める試料の分光分布をSt(λ)とすると、
・・・(6.1)
Ss(λ) : 値付けされた標準光源の分光分布
ここで、Ss(λ)が相対分光分布ではなく、分光放射束[W / nm]
の値が付けられていれば、試料の分光分布St(λ)も分光放射束分布[W / nm]
の値が得られる。
3.三刺激値の計算(JIS Z 8724の4.3)
・・・(6.2)
・・・(6.3)
・・・(6.4)
St(λ):試料の分光分布 式(6.1)
⊿λ:波長間隔(nm)
:等色関数
k:定数。Yの値が測光量に一致するように定める。
St(λ)が分光分布の絶対値(分光放射照度[W/(nm・㎡)])の時は、
k = 683[lm / W]となり、Yの単位は[lm / ㎡] = [lx](照度)となる。
また、St(λ)が分光分布の絶対値(分光放射束[W/nm])の時は、
k = 683[lm / W]とすると、Yの単位は[lm](光束)となる。
X、Zには単位を適用しない。
4.色度座標の計算
・・・(6.5)
・・・(6.6)
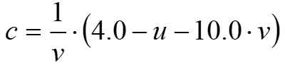
5.試料光源の相関色温度の計算 (JIS Z 8725 の 4.2)
(1)光源の三刺激値X、Y、Zまたは色度座標x、yからUCS色度座標u、vを求める。
・・・(6.7)
・・・(6.8)
・・・(6.9)
・・・(6.10)
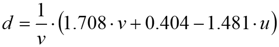
(2)光源色の相関色温度Tcpおよび黒体放射軌跡からの偏差duvをUCS色度座標u、vから求める。
(A) 付表1 2(10)度視野CIE1960UCS色度図における黒体放射軌跡の座標および等色温度線の傾斜
(B) JIS Z 8725 「プログラム例」
(C)(B)によりTcpおよびduvを計算する。
6.基準の光の相対分光分布の計算 JIS Z 8720の3.4
(1)下記、試料光源および試料光源の相関色温度の判別に基づいて、基準の光の相対分光分布を計算する。
(a)試料光源のTcp ≧ 5000[K] → CIE昼光
(b)試料光源のTcp < 5000[K] → 完全放射体の光
(c)試料光源がTcp ≧ 4600[K]の昼白色蛍光ランプのとき → CIE昼光
(2)CIE昼光の場合
任意の相関色温度Tcp[K]のCIE昼光の5nm間隔の分光分布の値は、次に規定する方法によって計算する。
(a)CIE昼光の色度座標
CIE昼光のXYZ表色系(JIS Z 8701)における色度座標xd、ydとすると
色度座標xdは
4000[K] ≦ Tcp ≦ 7000[K]のとき
・・・(6.11)
7000[K] < Tcp ≦ 25000[K]のとき
・・・(6.12)
色度座標ydは
・・・(6.13)
(b)CIE昼光の分光分布の計算
任意の相関色温度TcpのCIE昼光の5nm間隔の分光分布の値は、次の式
式(6.14)から式(6.16)によって求める。
・・・(6.14)
・・・(6.15)
・・・(6.16)
:CIE昼光の分光分布の値
:JIS Z 8720の付表3に規定する値
:色度座標xd、ydによって定められる定数
xd、yd :CIE昼光のXYZ表色系における色度座標
備考:標準の光D65並びに補助標準の光D50、D55およびD75の分光分布は
式(6.11)または式(6.12)の相関色温度Tcpをそれぞれ
・・・(6.17)
として求めた値を用いても良い。
(3)完全放射体の光の場合
(a)プランクの放射体の分光分布
任意の絶対温度T[K]におけるプランクの放射体の分光分布は式(6.18)で計算する。
・・・(6.18)
:完全放射体の分光分布。
:波長560nmにおける分光分布の値が100.00に
なるように規準化するための定数。
![]()
![]()
![]()
λ:波長[nm]。
T:プランクの放射体の絶対温度。
h : プランクの定数
![]()
k : ボルツマンの定数
![]()
c : 真空中の光の速さ
![]()
備考:標準イルミナントAの分光分布の値は、式(6.18)の絶対温度Tを
2848×(14388 / 14350)[K]として求められる。
7. 試料光源及び基準の光の光源色の計算
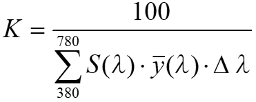
(1)光源色の3刺激値X、Y、Zは式(6.19)~(6.21)及び式(6.22)によって求められる。
・・・(6.19)
・・・(6.20)
・・・(6.21)
・・・(6.22)
:試料光源又は基準の光の相対分光分布で5nm間隔。
XYZ表色系における等色関数でJIS Z 8724の付表2の値。
⊿λ:積算の波長間隔で5[nm]。
試料光源及び基準の光についての値を区別するには、記号の添字としてそれぞれk又はrを用いる。
試料光源:![]()
基準の光:![]()
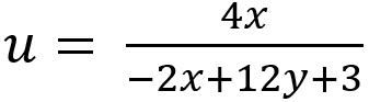
(2)CIE1960UCS色度図上における光源色の色度座標u、vは式(6.19)~(6.21)で求めた3刺激値X、Y、Z
から次式(6.23)、(6.24)によって計算する。
・・・(6.23)
・・・(6.24)
色度座標u、vはCIE1931色度図上の色度座標x、yから次式(6.25)、(6.26)で求めても良い。
・・・(6.25)
・・・(6.26)
試料光源及び基準の光についての値を区別するには、記号の添字としてそれぞれk又はrを用いる。
試料光源:![]()
基準の光:
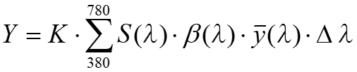
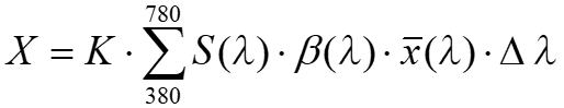
8.試料光源又は基準の光による試験色の3刺激値及び色度座標の計算
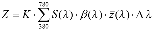
(1)試験色の3刺激値X、Y、Zは次式(6.27)~(6.29)及び式(6.30)によって求める。
・・・(6.27)
・・・(6.28)
・・・(6.29)
・・・(6.30)
S(λ):試料光源又は基準の光の相対分光分布で5nm間隔。
β(λ):試験色の分光放射輝度率で5nm間隔。
:XYZ表色系における等色関数でJIS Z 8724の付表2の値。
⊿λ:積算の波長間隔で5nm。
試料光源:
(i = 1~15で試験色の番号)
基準の光:
(i = 1~15で試験色の番号)
(2)CIE1960UCS色度図上における試験色の色度座標u、vは式(6.27)~(6.29)で
求めた3刺激値X、Y、Zから式(6.31)、(6.32)によって計算する。
・・・(6.31)
・・・(6.32)
色度座標u、vはCIE1931色度図上の色度座標x、yから次式(6.33)、(6.34)で求めても良い。
・・・(6.33)
・・・(6.34)
試料光源:
(i = 1~15で試験色の番号)
基準の光:
(i = 1~15で試験色の番号)
9.試料光源の色度座標及び試料光源による試験色の色度座標に対する色順応補正
試料光源の色度座標は、一般に基準の光の色度座標と等しくないが、この色度 座標の差による
物体色の色ずれは、色順応効果によって知覚的に補償される。
この効果を近似的に表すため、試料光源(添字k)の色度座標
を式(6.35)~(6.38)に
よって補正し、それぞれ
及び
を求める。
・・・(6.35)
・・・(6.36)
・・・(6.37)
・・・(6.38)
:色順応補正後の試料光源の色度座標
:基準の光の色度座標
:色順応補正後の各試験色の色度座標
:基準の光の色度座標
から下の式(6.39)、(6.40)により求めた係数
:試料光源の色度座標
から下の式(6.39)、(6.40)により求めた係数
:試料光源による各試験色の色度座標
から下の式(6.39)、(6.40)
に より求めた係数
・・・(6.39)
・・・(6.40)
10.CIE1964均等色空間への変換
CIE1964均等色空間への変換は次による。
(1)基準の光による各試験色の座標
は、7.(2)で求めた基準の光の色度座標
,
並びに8.で求めた各試験色の3刺激値のYの値
及び色度座標
から次式(6.41)~(6.43)
により計算する。
・・・(6.41)
・・・(6.42)
・・・(6.43)
(2)試料光源による各試験色の座標
は8.で求めた各試験色の三刺激値のYの値![]()
並びに2.8で求めた色順応補正後の試料光源の色度座標
及び各試験色の色度座標
から次式(6.44)~(6.46)により計算する。
・・・(6.44)
・・・(6.45)
・・・(6.46)
11.演色による色ずれの計算
CIE1964均等色空間における各試験色ごとの色ずれの大きさ⊿Eiは次式(6.47)
によって求める。
・・・(6.47)
12.演色評価数の計算
(1)特殊演色評価数
各試験色に対する演色評価数Riは次式(6-48)により求める。
・・・(6-48)
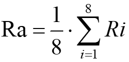
(2)平均演色評価数
平均演色評価数Raは試験色 i = 1 ~ 8に対する特殊演色評価数の平均値で あり、次式(6-49)
により求める。
・・・(6-49)
13.演色性の評価結果の表示
(1)演色評価数の表示
演色評価数の表示は次による。
(A)演色評価数を表す量記号はRとし、その種類を添字で示す。平均演色評価数を
示す添字はaとし、付表に与えた番号1から15までの試験色に対する特殊演色
評価数の添字はその番号を表す数字とする。
(B)演色評価数の値は、原則として小数点以下をJIS Z 8401(数値の丸め方)に
よって整数値に丸める。
参考:演色評価数を補足する評価値として。色域面積比Gaを併記してもよい。
(2)演色評価数の付記事項
(A)試料光源の色度座標
評価した試料光源の色度座標x、yを小数点以下3桁目まで付記する。
参考:試料光源の相関色温度及び黒体放射軌跡からの距離(JIS Z 8725)を付記
してもよい。
(B)基準の光の種類及び相関色温度
計算に用いた基準の光の種類及びその相関色温度(単位K)を付記する。
なお、JIS Z 8720(測色用の標準の光及び標準光源)に定める完全放射体の光又は
CIE昼光以外の光を用いた場合は、その種類を具体的に明記し、それがJIS Z 8720に
記載されていないものであるときには、380nmから780nmまでの5nm間隔の相対分光分布
の 値を併記する。
(C)試験色の種類
特殊演色評価数には、その試験色の番号を添字によって付記する。なお、付表に
示した以外の試験色を用いた場合は、添字として小文字のaを除く英字と数字を組
み合わせて用いる。この場合は、380nmから780nmまでの5nm間隔の分光放射輝度率
の値を付記する。
(3)演色性評価結果の記載方法
(A)付記事項の記号
演色性評価結果の記載に用いる付記事項の記号は次の通りとする。

(B)演色性評価結果の記載
演色性の評価結果は、原則として次の例のいずれかに従って記載する。
例1:すべての演色評価数を記載する場合
(演色AAA昼白色蛍光ランプの例)

例2:R1~R8を省略する場合
(3波長域発光型昼白色蛍光ランプの例)

例3:特殊演色評価数を省略する場合
(普通形白色蛍光ランプの例)

例4:特殊演色評価数を省略する場合
(蛍光高圧水銀ランプの例)


